Skip to product information
(Couples) "STARDUST" Tungsten Carbide Black Ring 8mm, 6mm, 4mm w/ Meteorite Dust and Silver Specs - Pristine Pieces By Amy

(Couples) "STARDUST" Tungsten Carbide Black Ring 8mm, 6mm, 4mm w/ Meteorite Dust and Silver Specs

Sale price  $299.25 Regular price  $399.00

Reliable shipping

Flexible returns

Couples - STARDUST - Tungsten Carbide Black Ring 8mm, 6mm, 4mm w/ Meteorite Dust and Silver Specs

Thank you for choosing us for your special day! We are dedicated to ensuring your needs are met promptly, delivering exactly what you envision precisely when you need it. Each ring is crafted with meticulous attention to detail, tailored specifically to your preferences. If you have any customization or questions, please don't hesitate to reach out to us. We're here to assist you every step of the way!

Introducing our Black Tungsten Ring with Meteorite Dust and Silver Specs, perfect for couples and available in three dimensions: 8mm, 6mm, and 4mm. Each ring features a sleek black exterior adorned with the shimmer of meteorite dust and intricate silver specs, creating a striking and sophisticated look. Customizable to any size not listed above; contact us for personalized orders!

The following is included with all purchases:

Free Shipping to United States
Free Laser Engraving
Free Wood Ring Box
Free Stainless Steel Chain
Lifetime Warranty

Crafted from high-quality materials, our tungsten carbide rings boast impressive durability and scratch resistance. With their stylish and unique design, these rings are the perfect complement to any lifestyle.

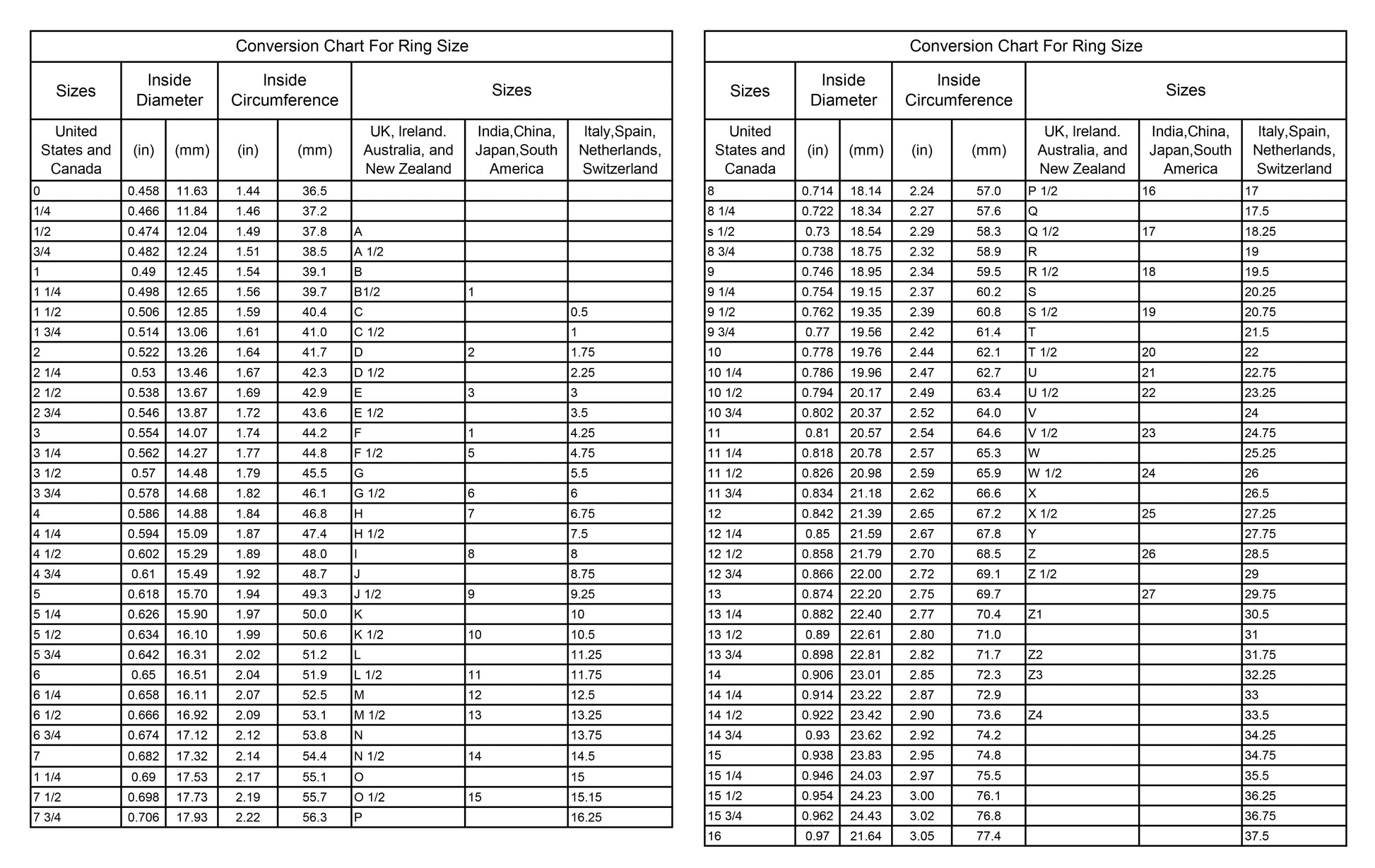
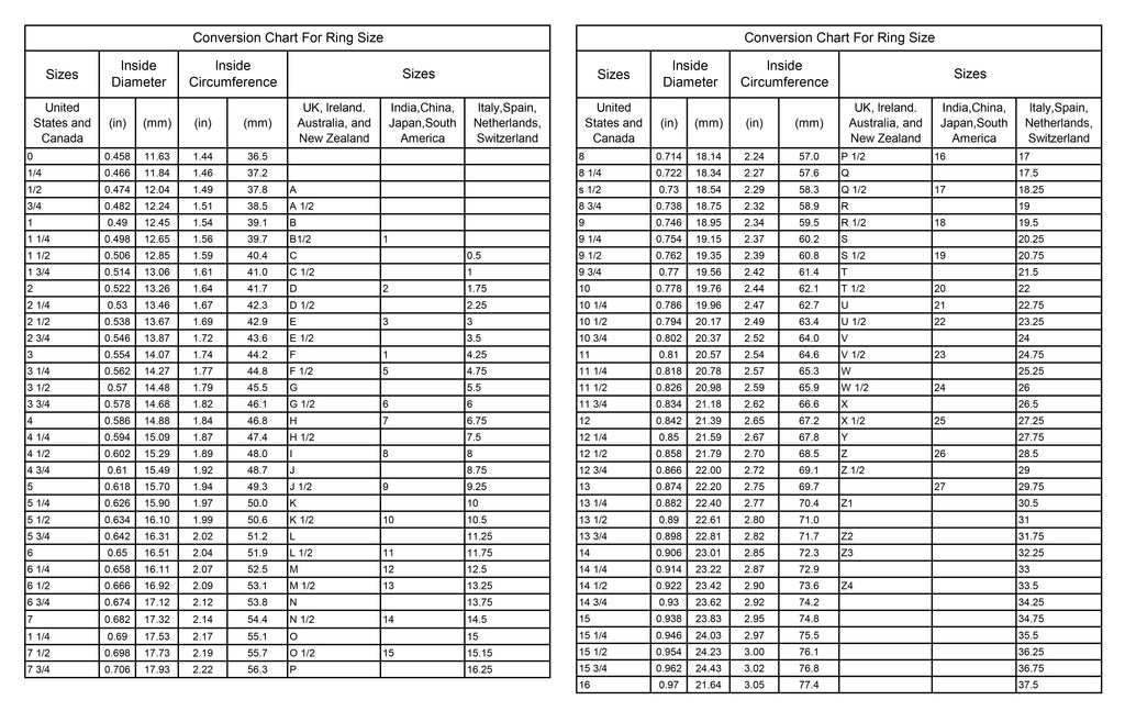
Our rings feature a comfort fit design, characterized by a domed interior that gently contours to your finger. This design ensures a smaller diameter at the center compared to the edges, offering enhanced comfort. If you require assistance with sizing, please don't hesitate to reach out to us. We also offer a free ring sizer that can be sent to you upon request.

You may also like