“GLADIATOR” Tungsten Carbide Rose Gold Ring 8mm w/ Meteorite
Reliable shipping
Flexible returns
GLADIATOR - Tungsten Carbide Rose Gold Ring 8mm w/ Meteorite
Thank you for choosing us for your special day! We are dedicated to ensuring your needs are met promptly, delivering exactly what you envision precisely when you need it. Each ring is crafted with meticulous attention to detail, tailored specifically to your preferences. If you have any customization or questions, please don't hesitate to reach out to us. We're here to assist you every step of the way!
Introducing our Tungsten Carbide Rose Gold Ring with Meteorite, featuring a sleek rose gold exterior with a captivating meteorite design and geometric edges. This 8mm-wide ring's unique combination creates a striking contrast and adds a touch of elegance. Customizable to any size, including those not listed above; contact us for personalized orders!
The following is included with all purchases:
Free Shipping to United States
Free Laser Engraving
Free Wood Ring Box
Free Stainless Steel Chain
Lifetime Warranty
Crafted from high-quality materials, our tungsten carbide rings boast impressive durability and scratch resistance. With their stylish and unique design, these rings are the perfect complement to any lifestyle.
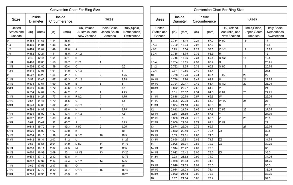
Our rings feature a comfort fit design, characterized by a domed interior that gently contours to your finger. This design ensures a smaller diameter at the center compared to the edges, offering enhanced comfort. If you require assistance with sizing, please don't hesitate to reach out to us. We also offer a free ring sizer that can be sent to you upon request.